• Предмет: Алгебра
  • Автор: гуфик124
  • Вопрос задан 2 года назад

Решите уравнение!!!!!!!!!!!!!!!!!!!!!!!!!!!!!!!!!1

Приложения:

Ответы

Ответ дал: Vadi357
1

Ответ:

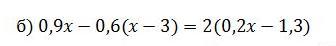
0,9x - 0,6(x - 3)=2(0,2x -1,3)

0,9-0,6x+1,8=0,4x-2,6 0,3x+1,8=0,4x-2,6 0,3x-0,4x=-2,6-1,8 -0,1x=-4,4 x=44

Вас заинтересует