• Предмет: Алгебра
  • Автор: Dybrovskyu
  • Вопрос задан 2 года назад

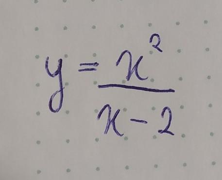
указать характер точек разрыва функции​

Приложения:

Ответы

Ответ дал: Аноним
0

Поскольку предел функции при приближении ее к точке плюс два справа и слева равен бесконечности, это точка разрыва второго рода. Точка бесконечного разрыва.

Вас заинтересует