Решите пожалуйста! Совершенно не понимаю что нужно сделать и как упростить
Аноним:
ПОЧЕМУ НИКТО НИКОГДА НЕ ОТВЕЧАЕТ?
Ответы
Ответ дал:
0
Объяснение:
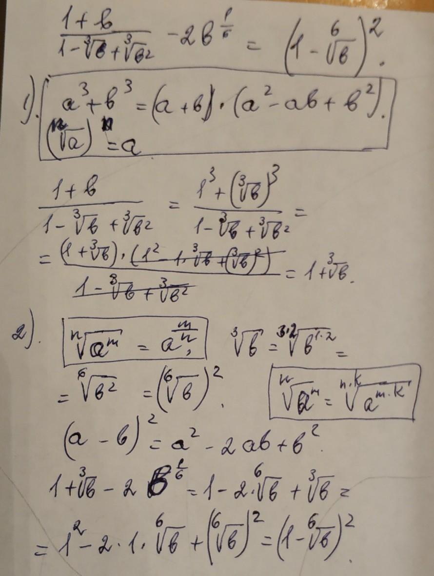
решение во вложении....
Приложения:

Вас заинтересует
1 год назад
1 год назад
1 год назад
3 года назад
8 лет назад
8 лет назад