• Предмет: Алгебра
  • Автор: Freeman2126
  • Вопрос задан 2 года назад

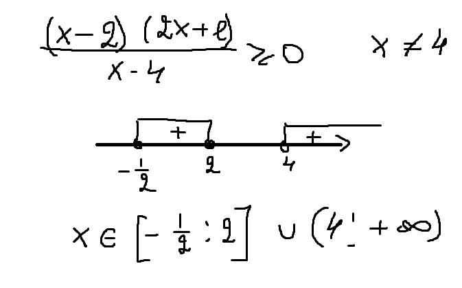
Решите неравенство.

Приложения:

Ответы

Ответ дал: igundane
0

Так как все коэффициенты перед х положительные ,то чередование знаков начинается с плюса

Приложения:
Ответ дал: MartinWilson
0

Ответ: x∈[-1/2]∪(4;+∞)

Объяснение:cм. вложение.

Приложения:
Вас заинтересует