• Предмет: Алгебра
  • Автор: Аноним
  • Вопрос задан 2 года назад

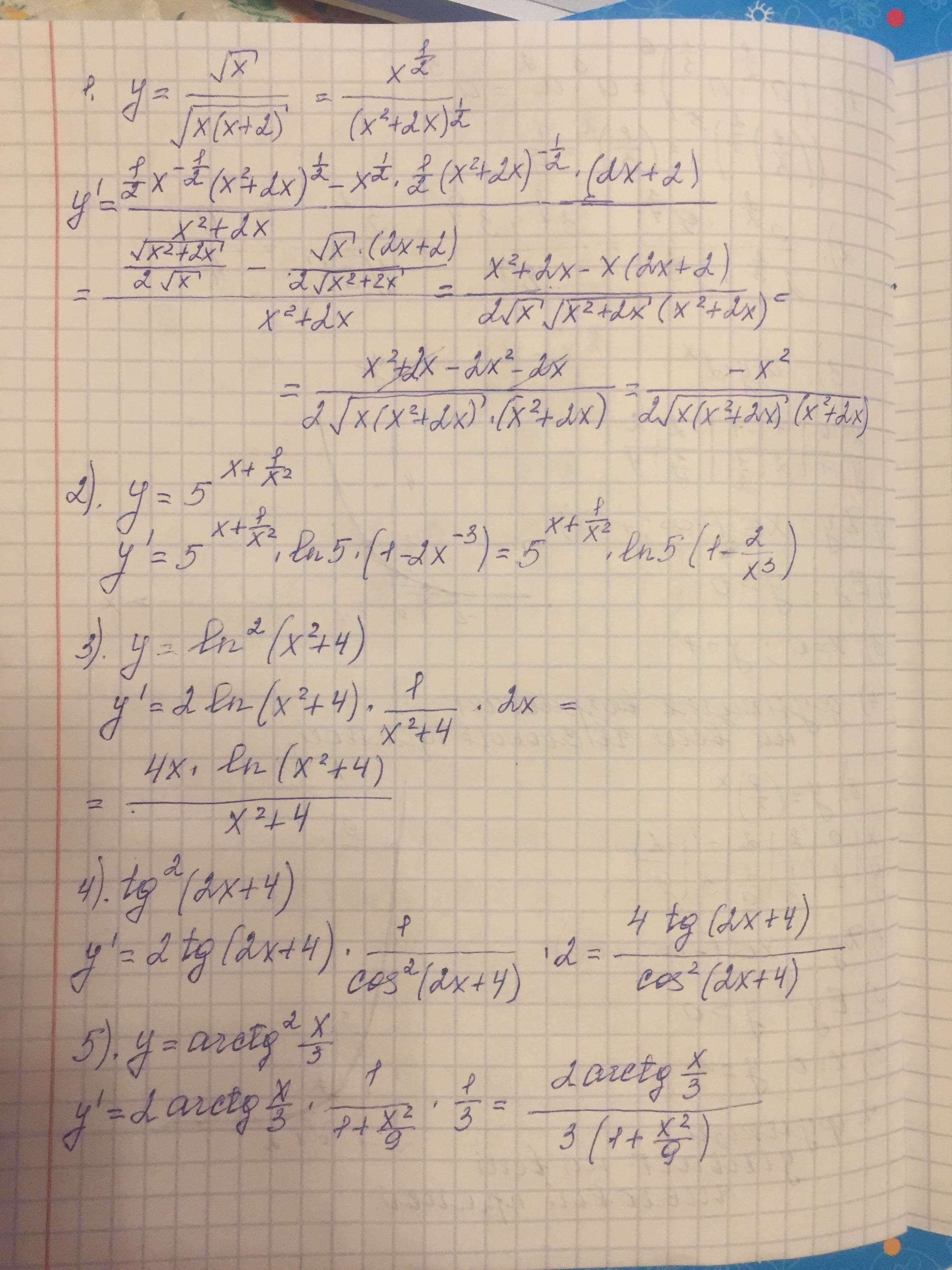
Найти производную


1) y=\frac{\sqrt{x} }{\sqrt{x(x+2} }

2)y=5^{x+\frac{1}{x^{2} } }

3)y=ln^{2} (x^{2} +4)

4)y=tg^{2} (2x+4)

5)y=arctg^{2} \frac{x}{3}

Ответы

Ответ дал: natalyabryukhova
2

Ответ:

===============================

Объяснение:

Приложения:
Ответ дал: Аноним
0

Ответ: во вложении Объяснение:

Приложения:

Аноним: помогите пожалуйста https://znanija.com/task/33760662
Аноним: помогите пожалуйстаААААА https://znanija.com/task/33760662
Вас заинтересует