• Предмет: Алгебра
  • Автор: AniGyurjyan
  • Вопрос задан 2 года назад

Помогите!!
Нужно найти производное.
Помогите пожалуйста​

Приложения:

Ответы

Ответ дал: natalyabryukhova
2

Ответ:

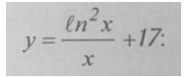
y=\frac{ln^2x}{x}+17\\y'=\frac{2lnx*\frac{1}{x}*x-ln^2x}{x^2}=\frac{lnx(2-lnx)}{x^2}

Объяснение:


AniGyurjyan: Саасибоо❤❤
Вас заинтересует