Ответы
Ответ дал:
0
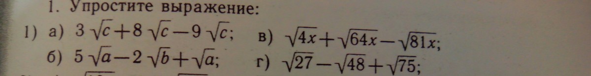
а)2корень из с
б)6 корень из а-2 корень из в
в)2 корень из х+8 корень из х-9 корень из х=корень из х
г)3 корень из 3-4 корень из 3+5 корень из 3=4 корень из 3
б)6 корень из а-2 корень из в
в)2 корень из х+8 корень из х-9 корень из х=корень из х
г)3 корень из 3-4 корень из 3+5 корень из 3=4 корень из 3
Вас заинтересует
3 года назад
3 года назад
8 лет назад