Ответы
Ответ дал:
1
Объяснение.
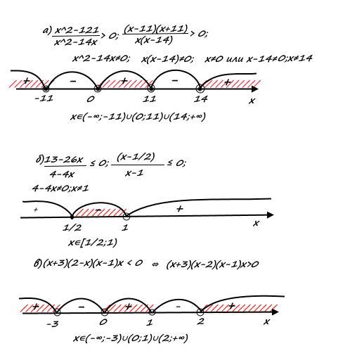
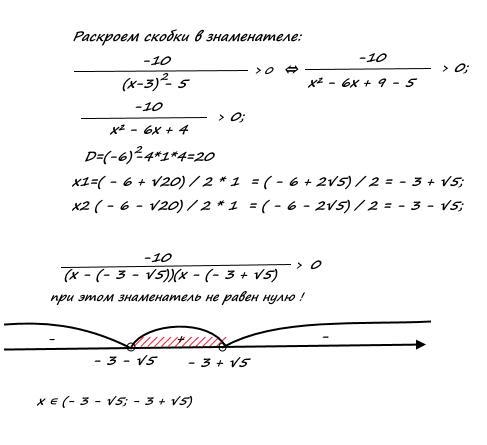
Наносим найденные точки на числовую ось и вычисляем знаки на каждом интервале (см.вложение)
Приложения:


Вас заинтересует
1 год назад
1 год назад
3 года назад
8 лет назад