• Предмет: Алгебра
  • Автор: elzagadulshina
  • Вопрос задан 2 года назад

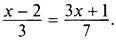
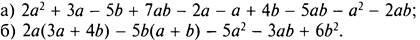
Решите срочно !!!!!!!!!!!

Приложения:

Ответы

Ответ дал: dianapetushok2006
0

Ответ:

1. x-2/3=3x+1/7=7(х-2)=3(3х+1)

7(х-2)-3(3х+1)=7х-14-9х-3=-2х-17=-2х=17=х=-8.5

Вас заинтересует