• Предмет: Алгебра
  • Автор: madworld989
  • Вопрос задан 2 года назад

помогите, срочно!!!!!!! даю 80 баллов! тут не сложно) я просто не понимаю

Приложения:

Ответы

Ответ дал: terikovramazan
0

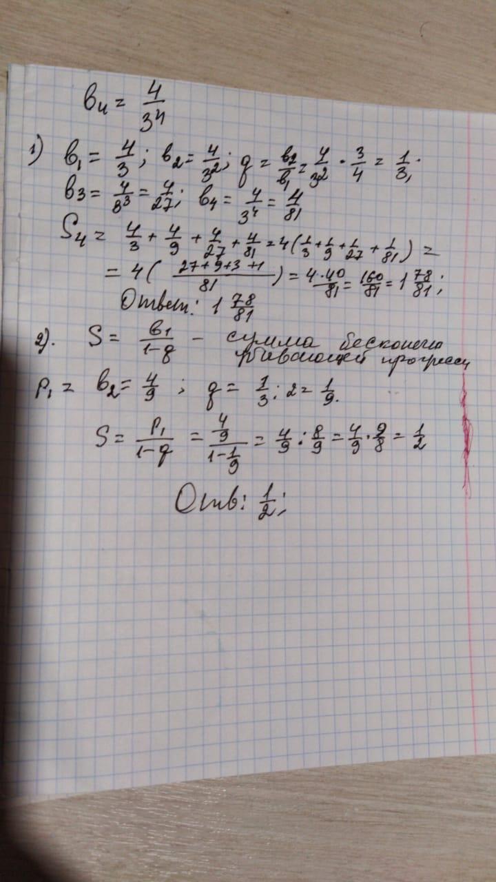
Ответ: 1) 1 78/81; 2) 1/2;

Объяснение:

Приложения:

madworld989: спасибо огромное тебе
madworld989: привет еще раз, во второй части учитель сказал что произошла ошибка. поможешь пожалуйста??
terikovramazan: Учитель прав, там 2/3 получается. здесь, уже не могу исправить. Дай электронку, туда скину
madworld989: madworld989@gmail.com
madworld989: спасибо заранее
terikovramazan: отправил
madworld989: спасибо))))
madworld989: я тебе кое что скинула, посмотри пожалуйста по почте.
Вас заинтересует