ПОМОГИТЕ ПОЖАЛУЙСТА
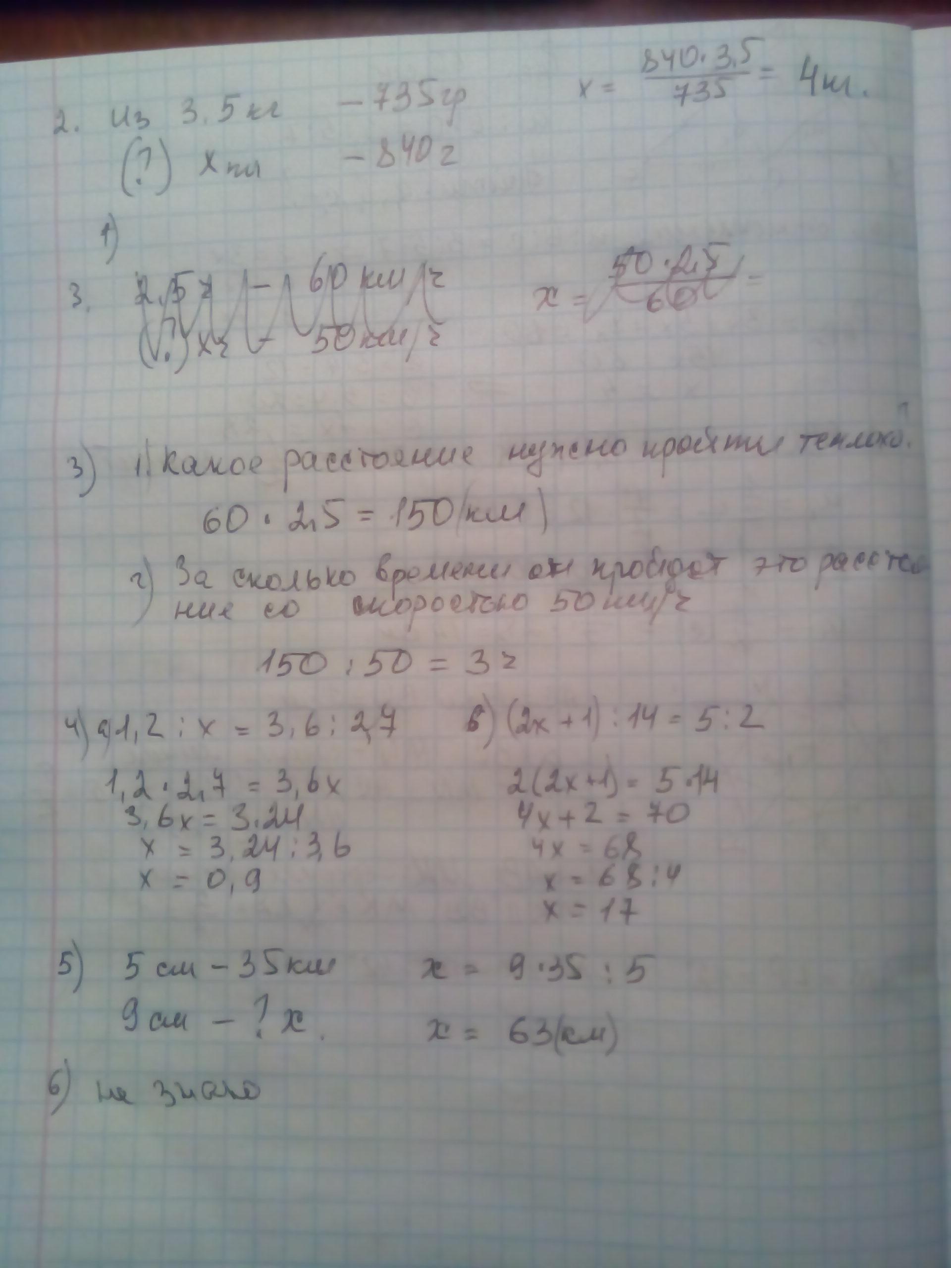
2. При сушке из 3,5 кг слив получается 735 г чернослива. Сколько
слив нужно взять, чтобы получить 840 г чернослива?
3. Теплоход на подводных крыльях прошел расстояние между
пристанями со средней скоростью 60 км/ч за 2,5ч. За сколько времени
пройдет это расстояние теплоход, если будет идти со скоростью 50 км/ч?
4. Решите уравнение:
а) 1,2 : х = 3,6 : 2,7;
б) (2x + 1): 14 = 5 : 2
5. Отрезку на карте длиной 5 см соответствует расстояние на
местности в 35 км. Какому расстоянию на местности соответствует
отрезок на карте длиной 9 см?
6*. Сначала цена товара понизилась на 10%, а потом повысилась на
20%. Как изменилась цена товара по сравнению с первоначальной?
11
Ответы
Ответ дал:
1
Ответ:
Пошаговое объяснение:
Смотрите на файле
Приложения:

Вас заинтересует
1 год назад
1 год назад
1 год назад
1 год назад
3 года назад
8 лет назад
8 лет назад