• Предмет: Алгебра
  • Автор: roma091207
  • Вопрос задан 2 года назад

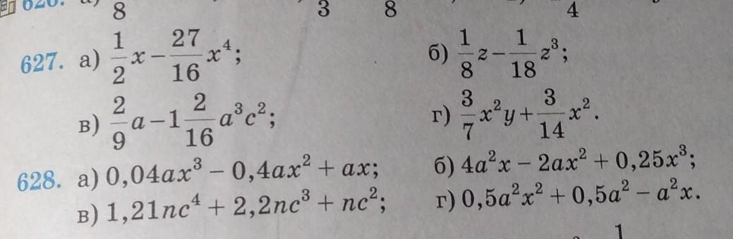
розкласти на множники многочлени. срочно плиз помогите​

Приложения:

Ответы

Ответ дал: np0834139
1

Объяснение:

#627

а)1/2 x и -27/16x4

б)1/8 z и 1/18 z2

в)2/9a и -1 2/16 a3c2

г)3/7x2y и 3/14 х2


roma091207: розпиши подробніше будь ласка
Вас заинтересует