Ответы
Ответ дал:
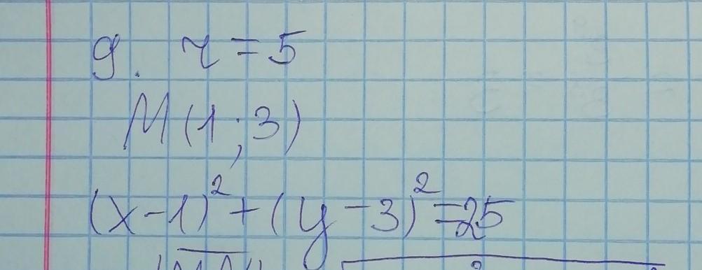
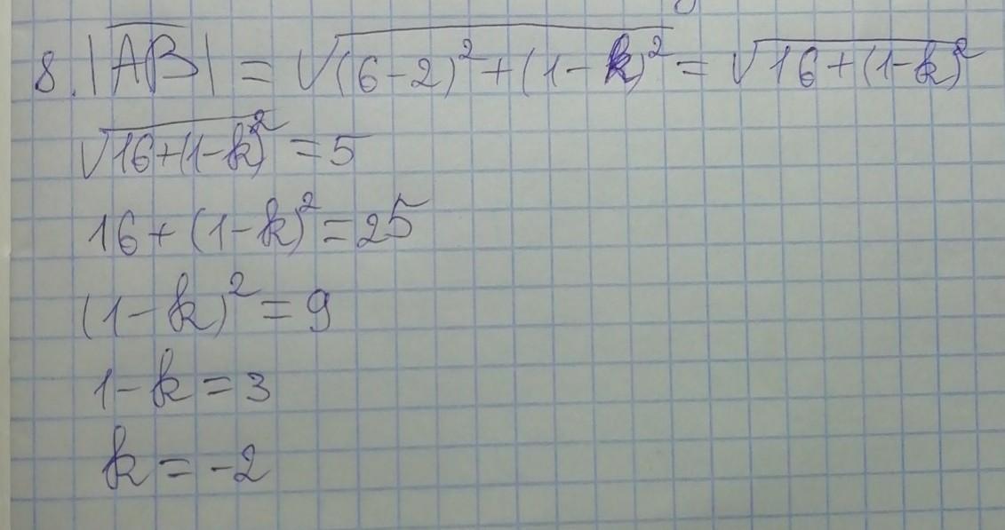
1
Ответ:
Сори, в 9 и 8 я более менее уверенна, а в 11 вообще нет
И если будешь списывать, то лучше вдумчиво, ибо я не ручаюсь)
Приложения:


eti999:
всё равно большое спасибо)
Вас заинтересует
1 год назад
1 год назад
1 год назад
1 год назад
3 года назад
3 года назад
8 лет назад
8 лет назад