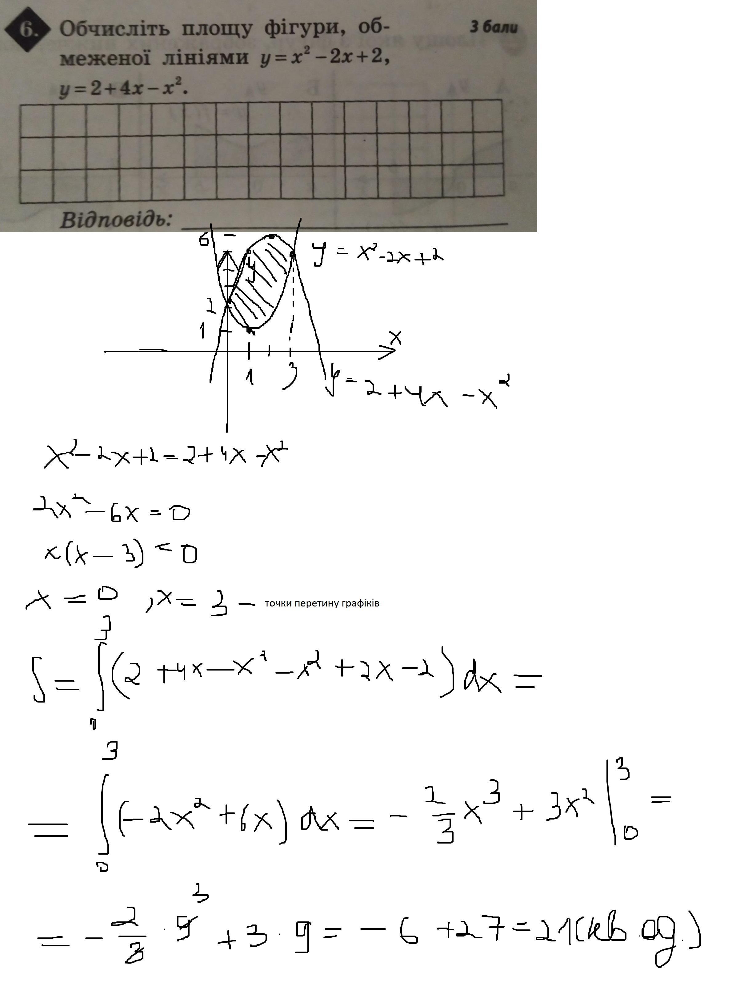
обчисліть площу фігури обмеженої лініями
(фото зверху) прошу вас!!!! допоможіть,будь те добрі)
Приложения:

Ответы
Ответ дал:
2
Ответ:
Объяснение:
ось і все
Приложения:

lika280203lika:
ти є в інстаграмі?
Вас заинтересует
1 год назад
1 год назад
1 год назад
3 года назад
3 года назад
8 лет назад