Задание написано на прикреплённой фотографии ( Упростите выражение и найдите его значение при a = −1. В ответ запишите полученное число.) Даю 12 баллов
Приложения:

Ответы
Ответ дал:
1
Ответ:
-19
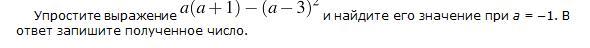
Объяснение:a(a+1) - (a-3)2
a2 + a - (a2 - 6a + 9)
a2 + a - a2 + 6a - 9
7a - 9
-7 - 9
-16
ЯрославLab:
То есть 3 умножить на 3 = 6?
Ответ дал:
0
Ответ:
а(а+1)-(а-3)²=а²+а-(а²-6а+9)= а+6а-9
-1-6+9=2
Вас заинтересует
1 год назад
1 год назад
1 год назад
3 года назад
8 лет назад