Решите пожалуйста) Это очень быстро решить. Дам много баллов. Отмечу как лучший, если будет с хорошим объяснением и решением всех трёх номеров! Если не решите все три номера без решения и объяснения, то пожалуюсь
Приложения:

Ответы
Ответ дал:
0
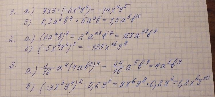
1)7xy * (-2x(3)y(4))= -14x(4)y(5)
Мы должно помножить числа в скобках
-14x(4)y(5)= -14x(4)y(5)
Теперь переносим буквы в лево и ставим ноль. Если число минусовое , то меняется
-14x(4)y(5)+ 14x(4)y(5)=0
Xy=0
Мы должно помножить числа в скобках
-14x(4)y(5)= -14x(4)y(5)
Теперь переносим буквы в лево и ставим ноль. Если число минусовое , то меняется
-14x(4)y(5)+ 14x(4)y(5)=0
Xy=0
Вас заинтересует
1 год назад
1 год назад
1 год назад
1 год назад
3 года назад
8 лет назад