• Предмет: Математика
  • Автор: Happyday666
  • Вопрос задан 2 года назад

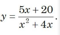
Пожалуйста. Очень надо

Приложения:

Ответы

Ответ дал: name28000
1

Ответ:

Пошаговое объяснение:

Приложения:
Вас заинтересует