• Предмет: Алгебра
  • Автор: ychitelmatematik
  • Вопрос задан 2 года назад

помогите пожалуйста​

Приложения:

Ответы

Ответ дал: NNNLLL54
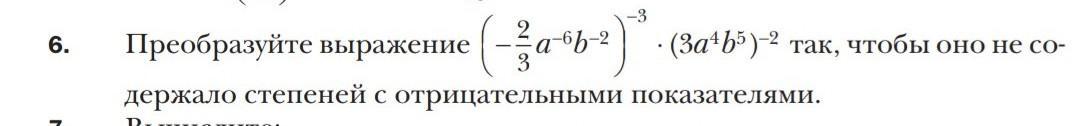
1

(-\frac{1}{3}\, a^{-6}\, b^{-2})^{-3}\cdot (3a^4\, b^5)^{-2}=-3^3a^{18}\, b^6\cdot \frac{1}{3^2\, a^{8}\, b^{10}}=-\frac{3a^{10}}{b^{4}}


ychitelmatematik: здравствуй а у тебя случаем нет ответов на тот же номер но на 2,3,4 вариант
NNNLLL54: ответов нет, я и номер этот не знаю, какое условие написали, то и решила...
ychitelmatematik: а если я скину 2,3,4 вариант сможете сделать как первое?
NNNLLL54: в одном вопросе можно писать 3 примера
Вас заинтересует