• Предмет: Физика
  • Автор: DimonBlack
  • Вопрос задан 2 года назад

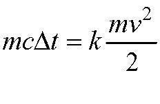
Объясните пожалуйста, как мы получили данную формулу

Приложения:

Ответы

Ответ дал: Dedagenn
0

Ответ:

Надо смотреть задачу. Здесь похоже речь о том, что какая-то часть кинетической энергии тела превратилась в тепло

Вас заинтересует