Сделайте пожалуйста математику (я понимаю что это просто но я уже не в состояние думать помогите прошу)
Приложения:

legion65656557:
Сделайте пожалуйста с подробными записями вычислений
Ответы
Ответ дал:
1
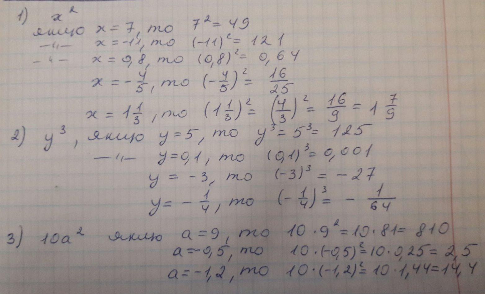
Відповідь:
Пояснення:
Приложения:


Вас заинтересует
1 год назад
1 год назад
1 год назад
3 года назад
3 года назад
8 лет назад