Ответы
Ответ дал:
0
Ответ:
Вот ответ
Объяснение:
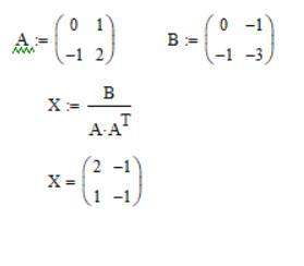
Приложения:

katuaoshepkova:
А можно, пожалуйста, более подробно? Мне необходимо понять ход решения
Вас заинтересует
1 год назад
1 год назад
1 год назад
1 год назад
3 года назад
3 года назад