• Предмет: Математика
  • Автор: roman525
  • Вопрос задан 2 года назад

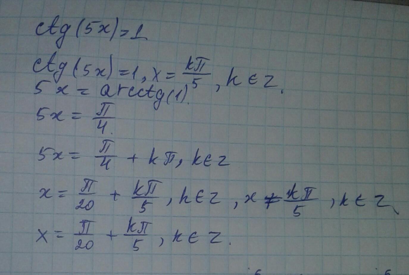
ctg5x=1 решить уравнение​

Ответы

Ответ дал: mbnbltbvmbn
3

Ответ: как-то так)

пошаговое решение:

Приложения:
Вас заинтересует