• Предмет: Математика
  • Автор: staffroche
  • Вопрос задан 2 года назад

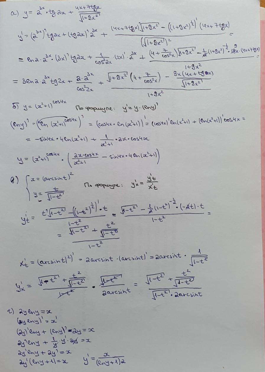
Вычислить производную заданной неявной

Приложения:

Ответы

Ответ дал: Miroslava227
0

Ответ:

решение на фотографии

Приложения:
Вас заинтересует