• Предмет: Алгебра
  • Автор: jfudurjej
  • Вопрос задан 2 года назад

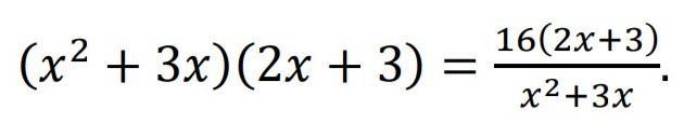
(18 БАЛЛОВ!!!) Решите уравнение: (см.фото), решение из Photomath не засчитывается​

Приложения:

Ответы

Ответ дал: taisasnitko
2

Ответ:-4;-1,5;1

Объяснение: OДЗ:x²+3x≠0, x≠0,x≠ -3

(2x+3)(x²+3x-16/(x²+3x))=0; выносим за скобки 2х+3

2x+3=0  или x²+3x- 16/(x²+3x)=0;║×(x²+3x)≠0

x=-3/2;             (x²+3x)²-16=0;

                       (  x²+3x)²=16;

                        x²+3x=4   или x²+3x=-4

x²+3x-4=0   или    x²+3x+4=0---не имеет корней D<0

x1=-4,x2=1 .                              


jfudurjej: спасибо огромное
jfudurjej: можете пожалуйста кратко объяснить, как такое выражение получилось на следующей строке после ОДЗ?
jfudurjej: просто на будущее знать
taisasnitko: перенесли в левую часть из правой и вынесли за скобки общий множитель,сокращать нельзяБ будет потеря корней.
jfudurjej: окей, спасибо!
Вас заинтересует