• Предмет: Алгебра
  • Автор: anyaaleksandro7
  • Вопрос задан 2 года назад

Помогите пожалуйста!!срочно надо вычислить!
Полностью все решение

Приложения:

Ответы

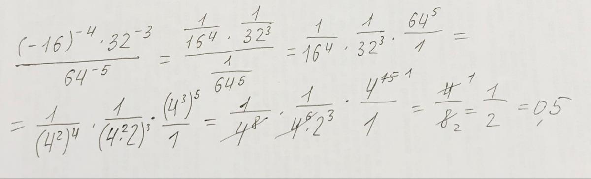
Ответ дал: julia200331
0
Думаю, что это решается так.
Приложения:
Вас заинтересует