• Предмет: Алгебра
  • Автор: samproleplay2
  • Вопрос задан 2 года назад

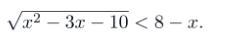
Решить неравенство, на листке если можно

Приложения:

Ответы

Ответ дал: Franko2005artem
0

Відповідь:

Пояснення:

Приложения:
Вас заинтересует