• Предмет: Математика
  • Автор: august210802
  • Вопрос задан 2 года назад

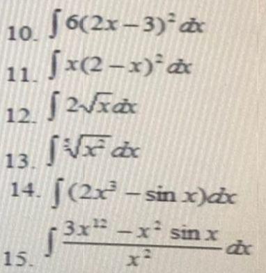
Решите пожалуйста интегралы

Приложения:

Ответы

Ответ дал: natalyabryukhova
1

Ответ:

=====================

Пошаговое объяснение:

Приложения:
Вас заинтересует