• Предмет: Алгебра
  • Автор: Аноним
  • Вопрос задан 2 года назад

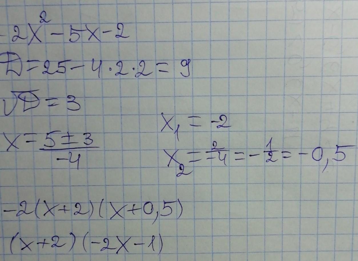
разложите на множители квадратный трёхчлен -2х2-5х-2 у меня получилось (-2x-1)(x+2) Правильно?

Ответы

Ответ дал: katzem2008
3

Объяснение:

Не знаюю

Щас проверим

Да, ты молодец)

Приложения:
Вас заинтересует