• Предмет: Математика
  • Автор: tvinkelayca
  • Вопрос задан 2 года назад

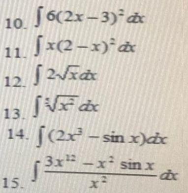
ДАЮ 90 БАЛЛОВ
РЕШИТЕ ПОЖАЛУЙСТА ИНТЕГРАЛЫ

Приложения:

Ответы

Ответ дал: vovanlut
1

Ответ:

Пошаговое объяснение:

В последнем не уверен, а так вроде ничо. Проверь на всякий через калькулятор

Приложения:
Вас заинтересует