• Предмет: Химия
  • Автор: alanalmasuly
  • Вопрос задан 2 года назад

Составить реакцию ОВР с помощью метода электронного баланса указать окислитель и восстановитель в каждой из реакций: a) Оксиды серы(4) + сероводород = сера + вода
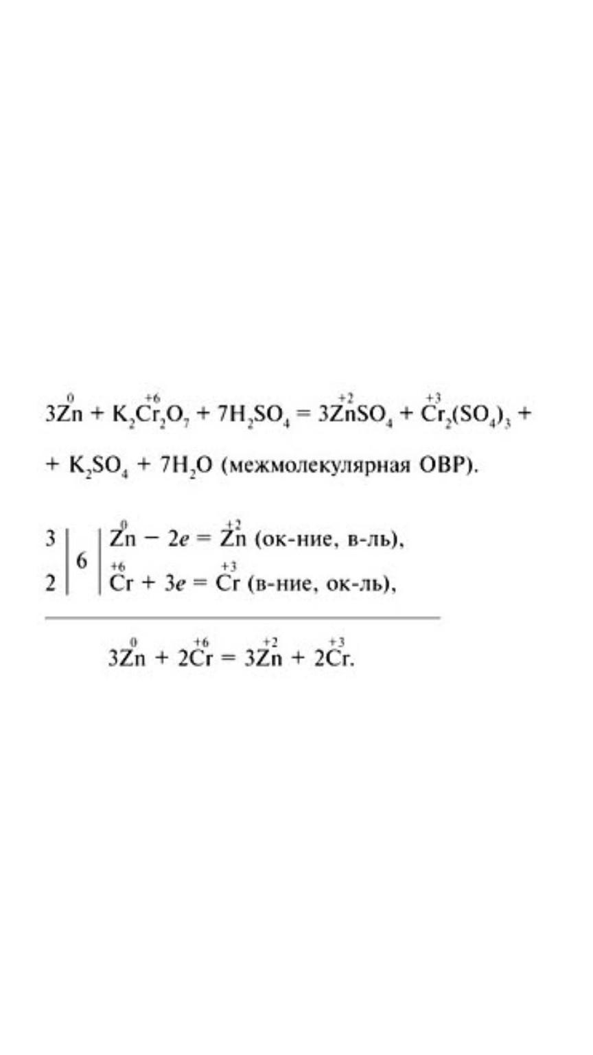
б) цинк + дихромат калия + серная кислота = сульфат цинка + сульфат хрома(3) + сульфат калия + вода

Ответы

Ответ дал: darina6307
0

Ответ:

Под (б)..............

Приложения:
Вас заинтересует