• Предмет: Алгебра
  • Автор: asurovuser
  • Вопрос задан 2 года назад

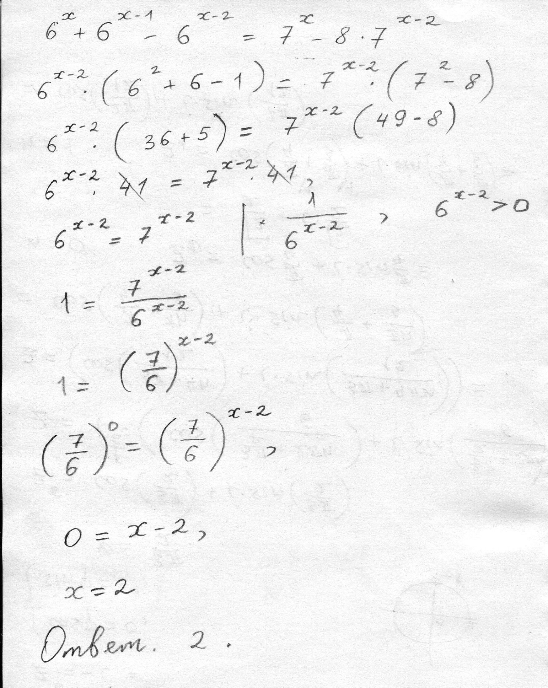
6^(x) + 6^(x-1) - 6^(x-2) = 7^(x) - 8 * 7^(x-2)
!!!!!!!!!!!!!!!!!!!!!

Ответы

Ответ дал: Аноним
2

Ответ: x=2.

Объяснение: смотри прикреплённое изображение ===>>

Приложения:
Вас заинтересует