Ответы
Ответ дал:
0
Проверь на всякий случай.
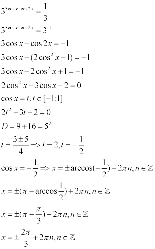
Приложения:

Вас заинтересует
2 года назад
2 года назад
8 лет назад
10 лет назад
10 лет назад
10 лет назад