Ответы
Ответ дал:
1
Ответ:
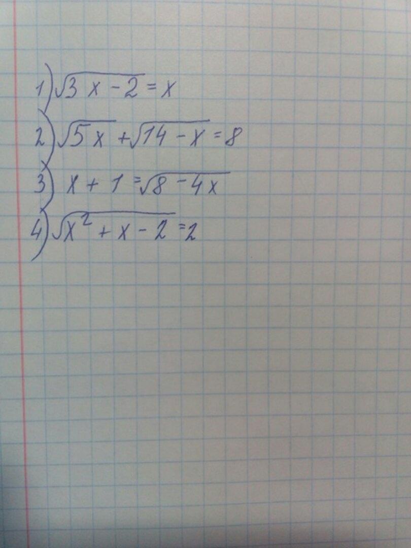
Надо обе части поднимать в квадрат, чтобы убрать корень.
Если хочешь увеличить, нажимай на Ctrl и одновременно прокручиваешь колесо мышки.
Пошаговое объяснение:
Приложения:



Вас заинтересует
1 год назад
1 год назад
1 год назад
1 год назад
3 года назад
3 года назад
8 лет назад