• Предмет: Алгебра
  • Автор: eldareldar007
  • Вопрос задан 2 года назад

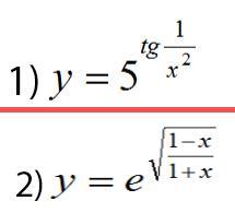
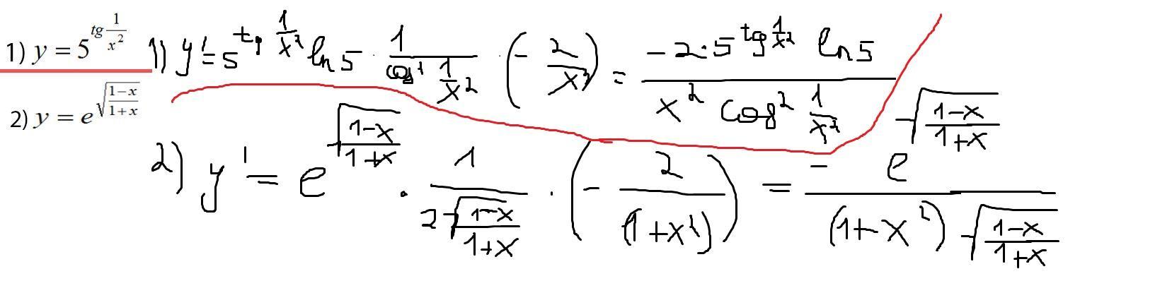
Найти производную функции.

Приложения:

Ответы

Ответ дал: matematikL
0

Ответ:

Объяснение:

вот и все

Приложения:
Вас заинтересует