• Предмет: Алгебра
  • Автор: kristinapetruk14
  • Вопрос задан 2 года назад

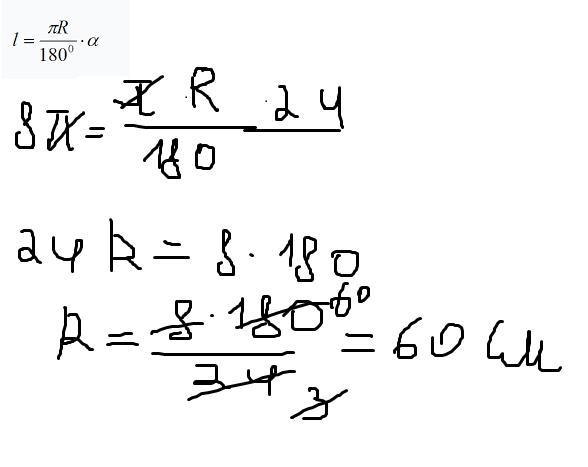
довжина дуги кола дорівнює 8П см, а її градусна міра 24. Знайдіть радіус кола​

Ответы

Ответ дал: matematikL
23

Ответ:

Объяснение:

вот и все

Приложения:

hfhjgigdidifd: помогите
hfhjgigdidifd: решить задачу
Вас заинтересует