• Предмет: Алгебра
  • Автор: timosukmilana489
  • Вопрос задан 2 года назад


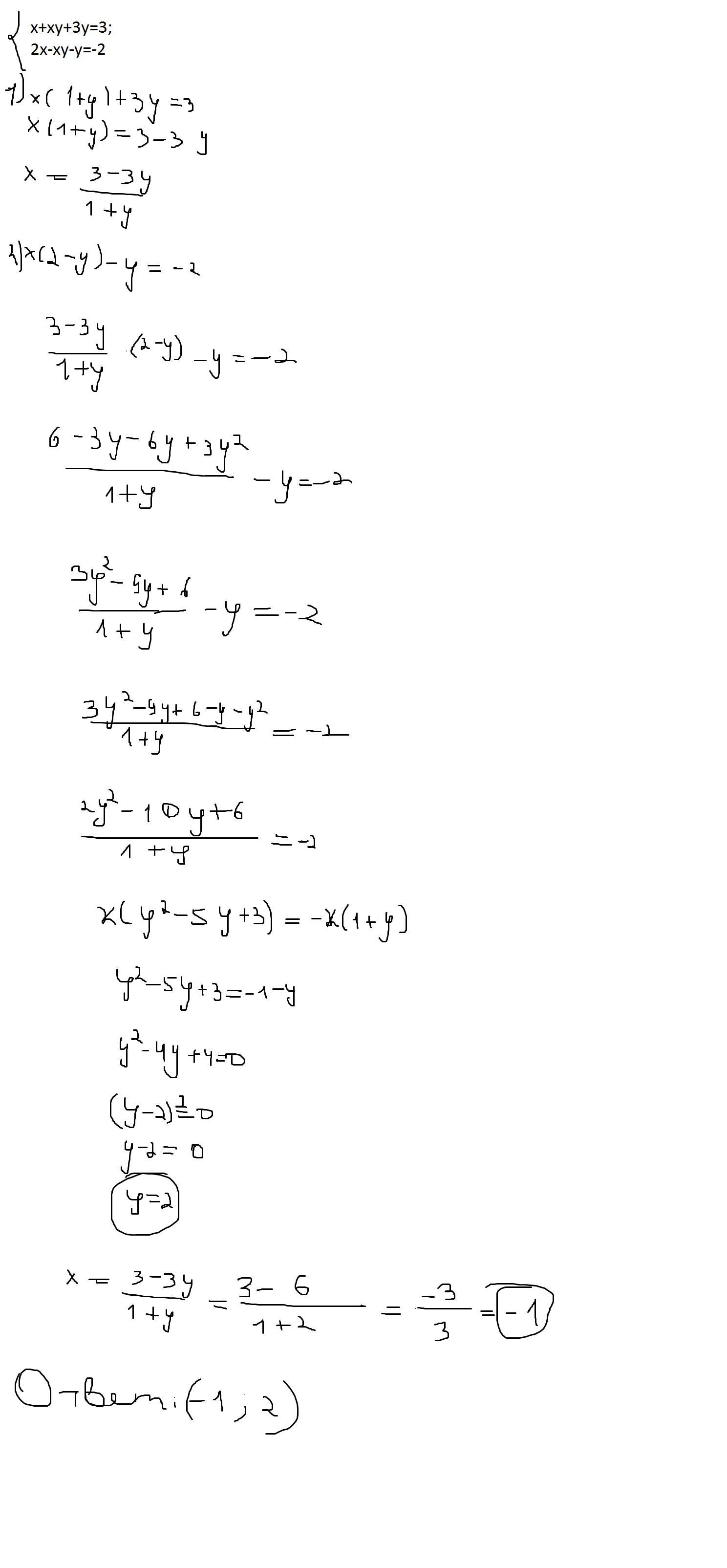
Розв'яжіть систему рівнянь: x+xy+3y=3; 2x-xy-y=-2​

Ответы

Ответ дал: matematikL
7

Ответ:

Объяснение:

вот и все

Приложения:
Вас заинтересует