• Предмет: Алгебра
  • Автор: Hayk2210
  • Вопрос задан 2 года назад

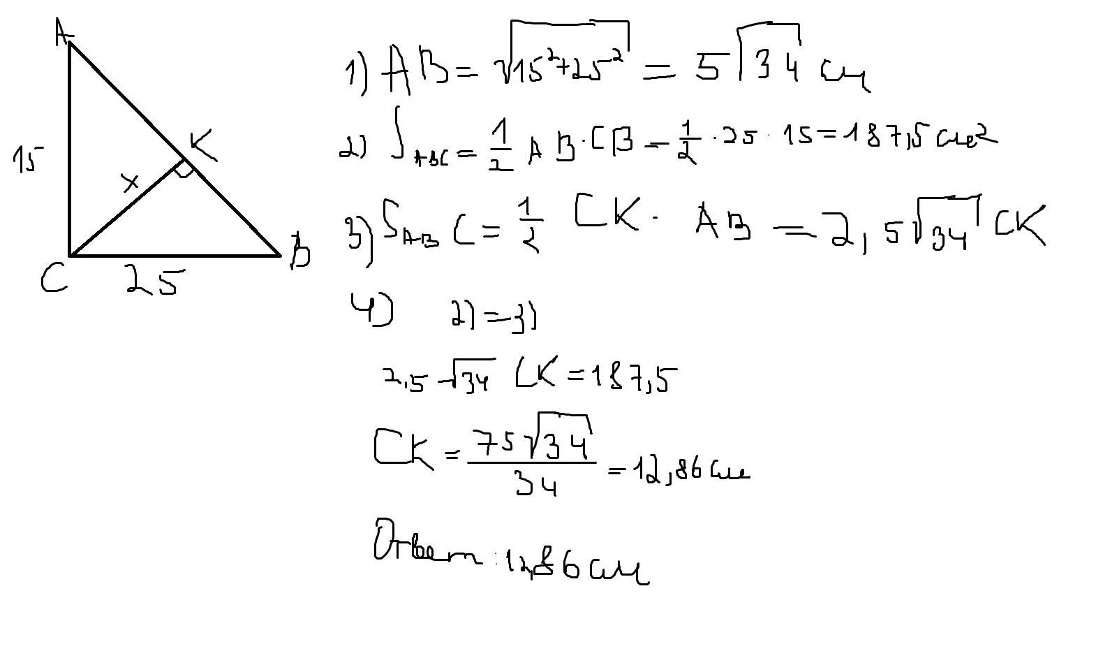
Найдите высоту прямоугольного треугольника проведенного к гипотенузе если катеты гипотенуза этого треугольника соответственно равны 15 см и 25 см

Ответы

Ответ дал: matematikL
0

Ответ:

Объяснение:

вот и все

Приложения:

Hayk2210: А дано как???
klev7529: Ответь на мой вопрос пожалуйсат последний
Вас заинтересует