• Предмет: Алгебра
  • Автор: klev7529
  • Вопрос задан 2 года назад

Помогите пожалуйста очень срочно

Приложения:

NNNLLL54: три график в одном вопросе - это много...
klev7529: Можно 1 в 66
klev7529: Пожалуйста

Ответы

Ответ дал: Dedagenn
1

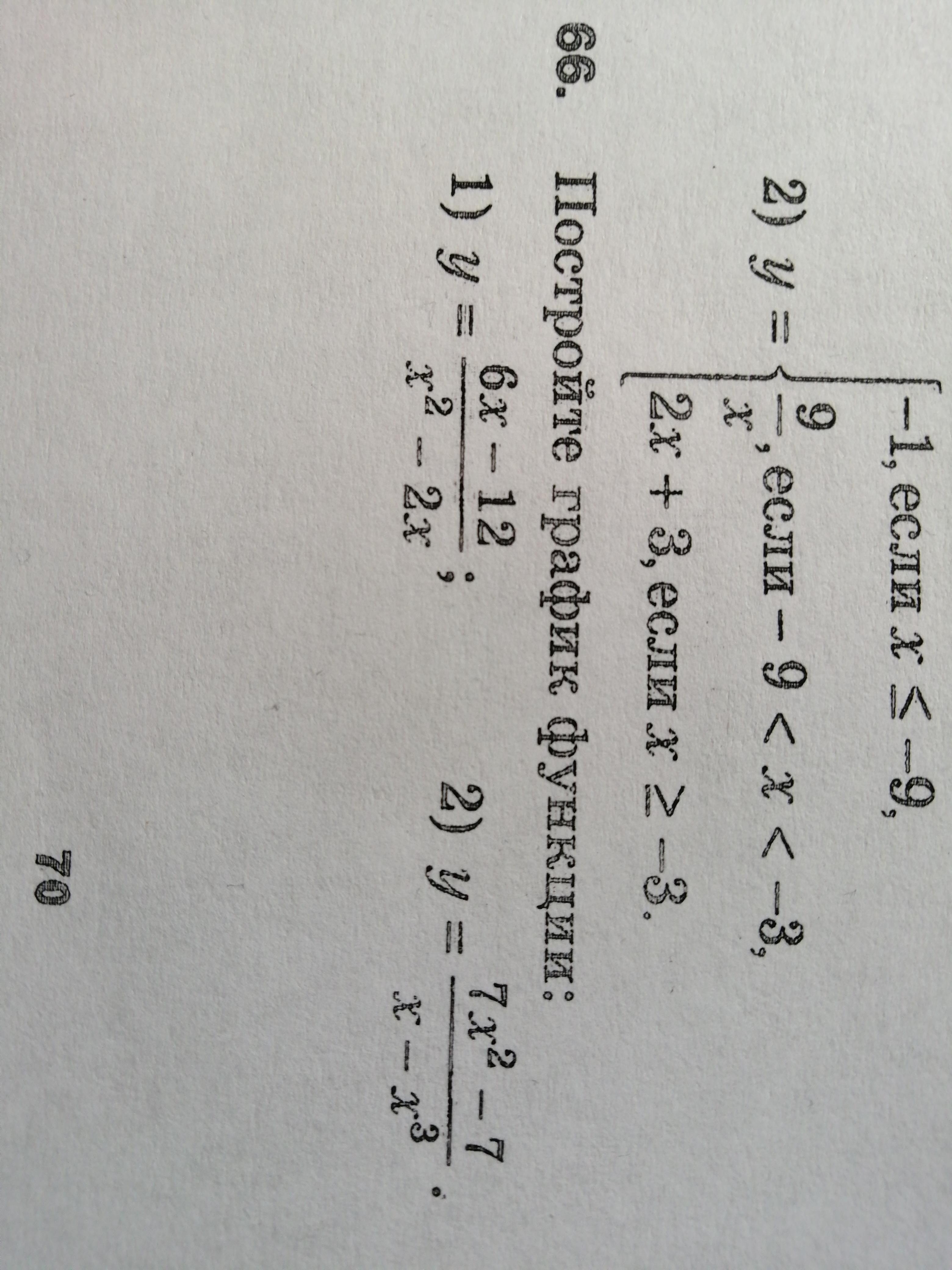
66. 1) у=6(х-2)/х(х-2)=6/х гипербола в 1 и 3 квадрантах

2) у=-7(х²-1)/х(х²-1)=-7/х -гипербола в 2 и 4 квадрантах

65. это 3 участка по х: от -∞ до -9; от -9 до -3; от-3 до ∞. В бесконечности не лезем, берем х от -10 до -9 первый, и от -3 до +3 (хватит для наглядности) третий участок/ интервал

*На 1м уч. формула у=-1, это прямая, параллельная 0х, рисуем от -10 до -9 включительно, не выкалывая

**На 2м уч-ке кусочек гиперболы у=9/х, (-9;-1)...,...(-3;-3), крайние точки выколотые, не принадлежат гиперболе

***На 3м уч. у=2х+3, (-3;-3)...(3;9) -прямая, через эти 2 точки

Видно, что в местах стыка графиков точки совпадают, т.е. разрывов нет


klev7529: Спасибо большое
Dedagenn: пожалуйста, строить как таКушнир делала в 63(?) задании
klev7529: Да
klev7529: А ты сможешь помочь с числами для таблицами для 65 номера
Dedagenn: Немного написал... смотри картинку NNNLLL
jjjahd: помогите пожалуйста мне по математике
Ответ дал: NNNLLL54
3

66.1.\; \; y=\frac{6x-12}{x^2-2x}\; \; ,\; \; \frac{6x-12}{x^2-2x}=\frac{6(x-2)}{x(x-2)}=\frac{6}{x}\\\\y=\frac{6}{x} \; \; ,\; \; x\ne 0\; ,\; x\ne 2

Графиком функции будет гипербола, проходящая через точки (1,6) , (3,2) , (-1,-6) , (-3,-2) , (-2,-3) , причём точка (2,3) на графике будет выколота , асимптотой будет прямая х=0 (ось ОУ) .

65. График на рисунке. Чертим прямую у= -1 на промежутке (-∞,-9 ] , часть гиперболы  у=9/х на интервале (-9,-3)  и прямую у=2х+3 на промежутке [-3,+∞) .

Приложения:

klev7529: Спасибо большое!
NNNLLL54: в №66( 2) будет гипербола у=-7/х с выколотыми очками (1,-7) , (-1,7) , потому что x^2-1=(x-1)(x+1)
klev7529: А точки для таблицы какие можно?
NNNLLL54: ...выколотыми точками ...
Dedagenn: эхх, 65ю порисовать бы....
klev7529: Там сложно
klev7529: Если хочешь, у меня такой же вопрос есть, можешь перейти порисовать)
NNNLLL54: там не сложно...нужно нарисовать три графика, просто каждый обрубить по иксам заданным...
klev7529: Для меня это сложно..
klev7529: Ну если захочешь, порисуй, буду благодарен
Вас заинтересует