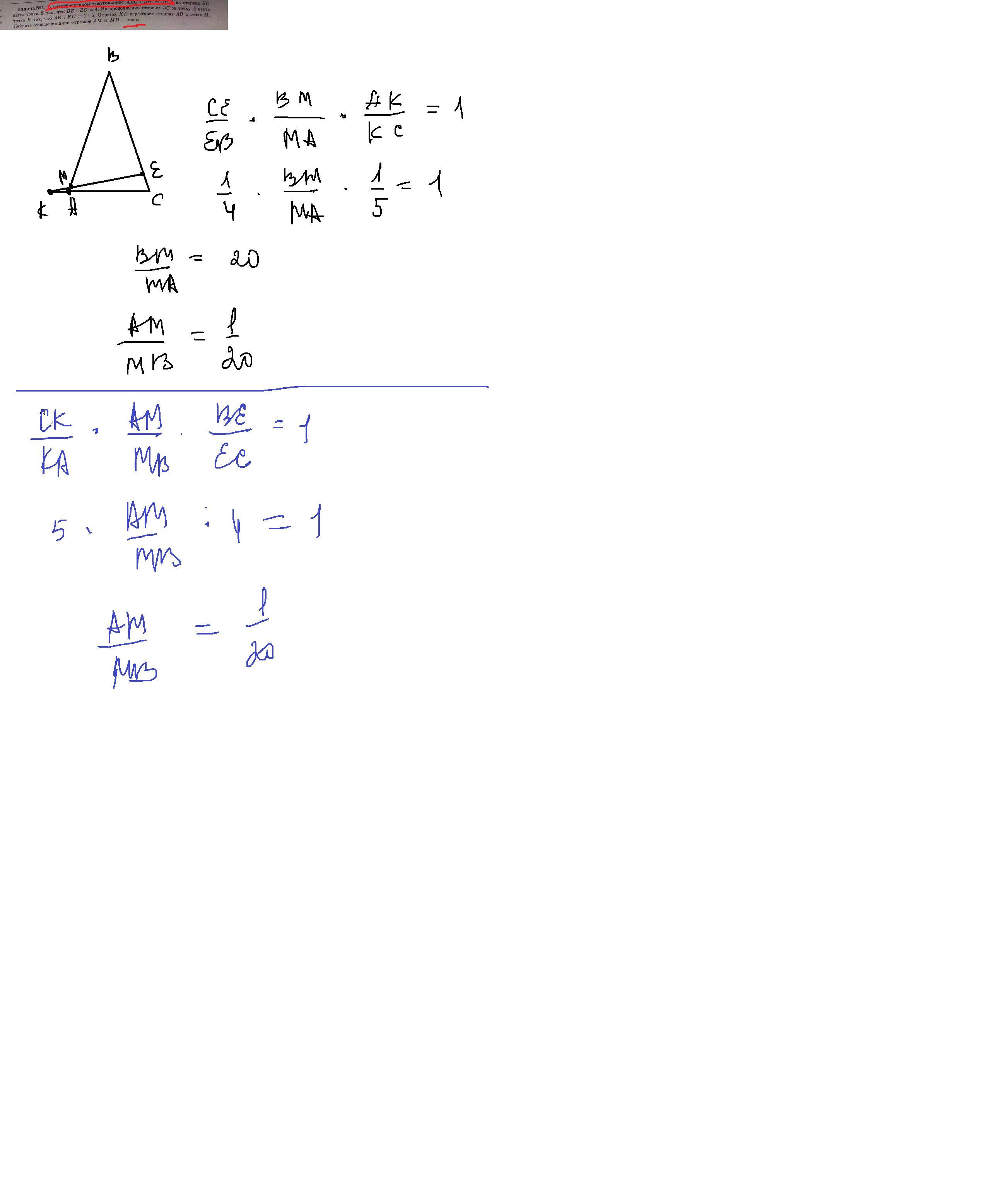
Помогите решить первые три задачи. Вероятно, там теорема Менелая, но я не могу найти нужный треугольник. А может и нет.
Спасибо.
Приложения:

Ответы
Ответ дал:
1
Ответ:
Объяснение: Равнобедренный и АВ=ВС-топор в каше. Как и ответ.
Приложения:

Вас заинтересует
1 год назад
1 год назад
1 год назад
1 год назад
3 года назад
3 года назад
8 лет назад