• Предмет: Алгебра
  • Автор: SanekRaven
  • Вопрос задан 2 года назад

Прошу помогите пожалуйста очень нужно

Приложения:

Ответы

Ответ дал: vechkasovkirill
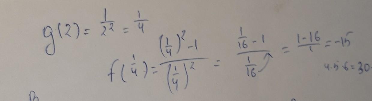
1

Ответ:

- 15 ................

Приложения:

SanekRaven: А вы еще помочь можете пожалуйста
vechkasovkirill: Да, попробую
SanekRaven: А как мне скинуть задание вам
vechkasovkirill: А это не те, которые висят в твоих вопросах ?
SanekRaven: Даа
SanekRaven: Где фотки с пу это оно
SanekRaven: С пк
SanekRaven: Только эти уде решили вы и другие люди
SanekRaven: Я новое шас выложу
SanekRaven: Я выложил задание будьте добры помогите
Ответ дал: govorusudud
1

Ответ:

четвертое вотьььььььь


SanekRaven: Спасибо
Вас заинтересует