• Предмет: Алгебра
  • Автор: pollyandhercats
  • Вопрос задан 2 года назад

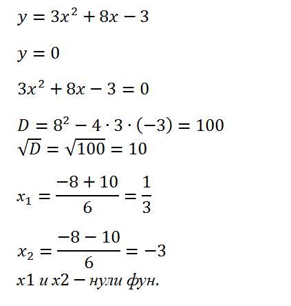
Найдите нули функции
y=3x^2+8x-3​

Ответы

Ответ дал: soon1994
0

Ответ:

Решение во вложении

Объяснение:

Приложения:
Вас заинтересует