• Предмет: Алгебра
  • Автор: toshabist1
  • Вопрос задан 2 года назад

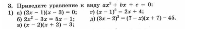
ПОМОГИТЕ ПОЖАЛУЙСТА. КВАДРАТНЫЕ КОРНИ

Приложения:

Ответы

Ответ дал: magistryoda161
0

Ответ:

Объяснение:

а)2x*x-2x*3-x+3=2x^2-7x+3

b)2x^2-8x+1

c)x^2+0x-7

d)x^2-4x-3

e)10x^2-12x+0

Вас заинтересует