• Предмет: Математика
  • Автор: Anastasiagagauz
  • Вопрос задан 2 года назад

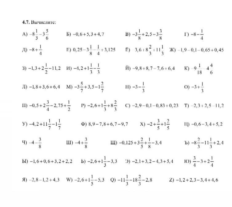
помогите пожалуйста !!!!​

Приложения:

Ответы

Ответ дал: Panda546
0

Ответ:эт как вообще?(

Пошаговое объяснение:


Anastasiagagauz: сама хз как . страшна очень страшнаааа
Вас заинтересует