• Предмет: Математика
  • Автор: fred0rik2007
  • Вопрос задан 2 года назад

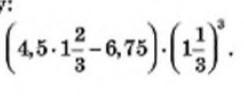
срочно пожалуйста!!!!! ​

Приложения:

Ответы

Ответ дал: RenEsphel
0

Ответ:1 7/9

/-це риска дроба

Вас заинтересует