• Предмет: Математика
  • Автор: Vladgogogo
  • Вопрос задан 2 года назад

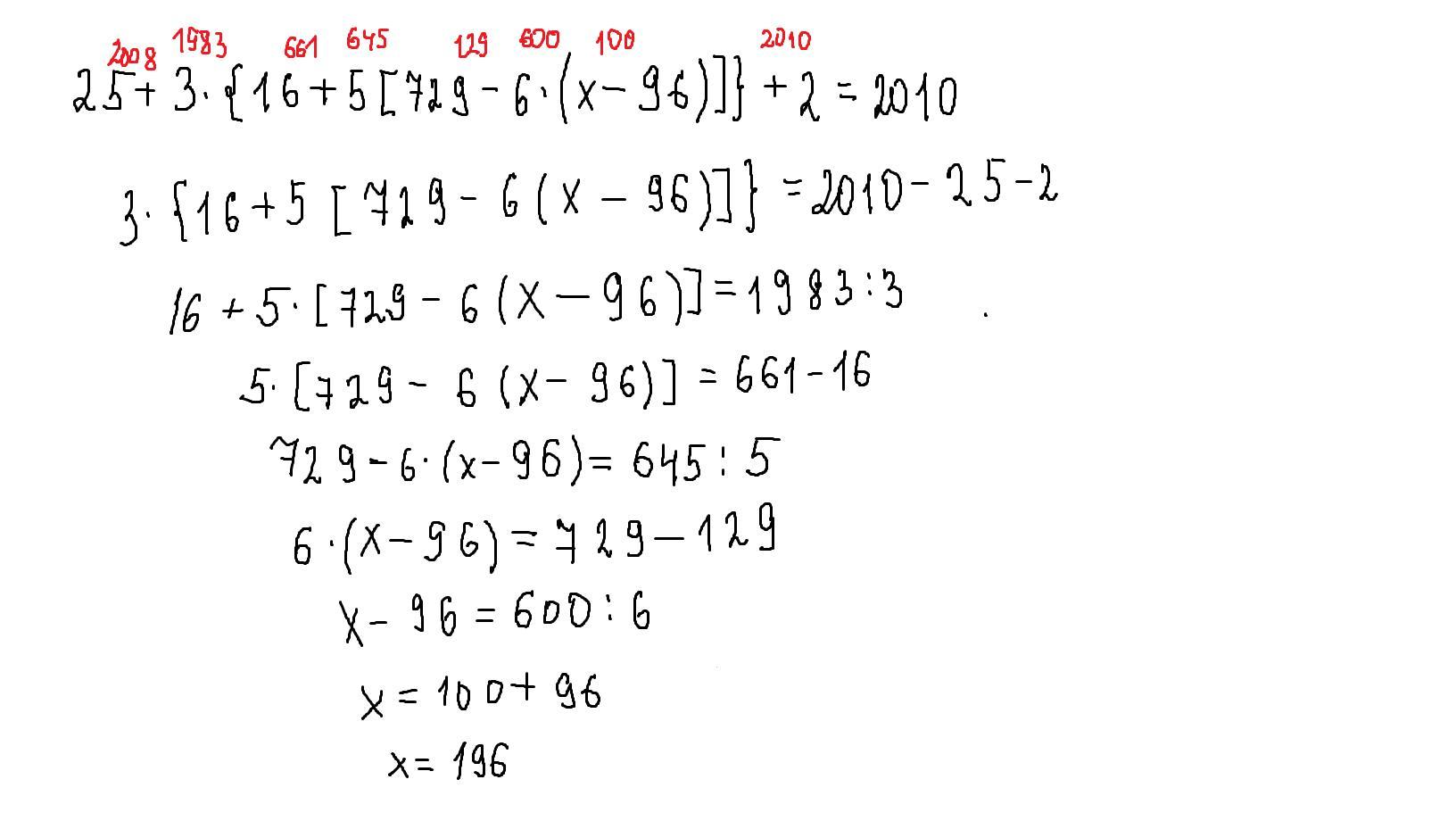
5²+3*{4²+5*[729-6*(x-3*32) ]}+2*1=2010
Помогите срочно!

Ответы

Ответ дал: parus77
1

Ответ:

х=196

Пошаговое объяснение:

решение внизу

над первой строчкой красным цветом-проверка по действиям

Приложения:
Вас заинтересует