• Предмет: Алгебра
  • Автор: fghvdtgjjnnmmmdfgjvc
  • Вопрос задан 2 года назад

10 класc
пожалуйста​

Приложения:

Ответы

Ответ дал: marshall963
2

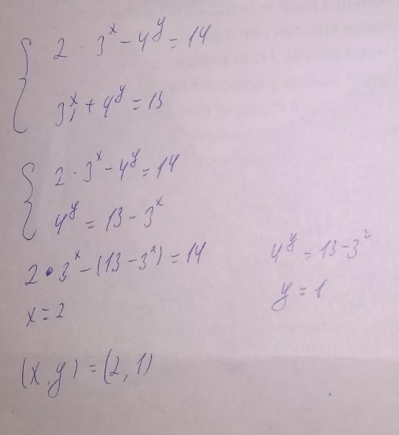
Ответ:

(х,у)=(2,1)........

Приложения:
Вас заинтересует