Ответы
Ответ дал:
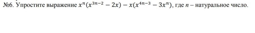
1
Готово .............
Приложения:

карамелька9550:
Стой, я напутала
Вас заинтересует
1 год назад
1 год назад
1 год назад
1 год назад
3 года назад
3 года назад
8 лет назад