Помогите срочно нужно
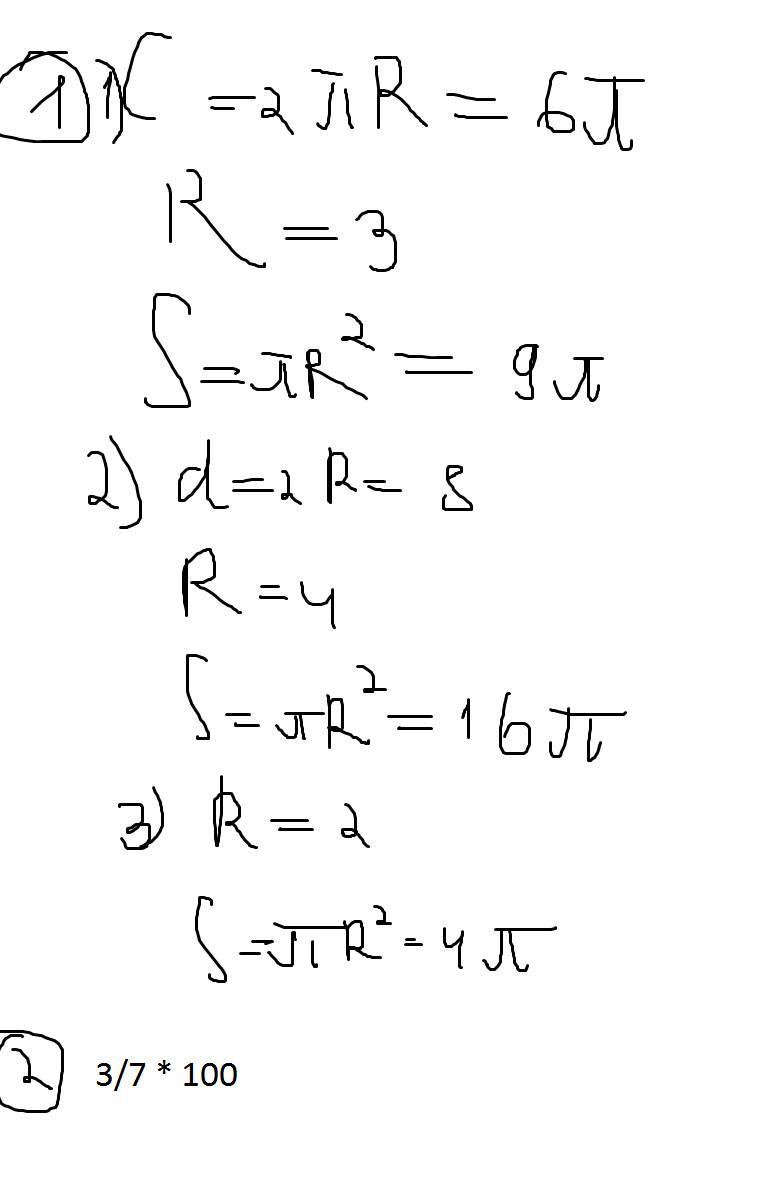
Встанови відповідності між елементами кругів і їх площами:
Довжина кола дорівнює 6π см
Діаметр круга дорівнює 8 см
Радіус круга дорівнює 2 см
Щоб знайти відсоткове відношення числа 3 до числа 7 потрібно…
3/7 * 100
або
7/3 * 100
Під час виверження вулканів спостерігається виділення газів, які складаються з 65 % водяної пари, 15 % вуглекислого газу, 10 % азоту та 10 % сірчаних димів. За даними побудуйте стовпчасту діаграму
Аноним:
Ответте хотяби на одно
Ответы
Ответ дал:
1
Ответ:
Пошаговое объяснение:
ось і все
Приложения:


Вас заинтересует
1 год назад
1 год назад
1 год назад
1 год назад
3 года назад
3 года назад
8 лет назад