• Предмет: Математика
  • Автор: bananas29
  • Вопрос задан 2 года назад

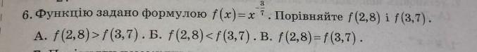
Допоможіть будь ласочкааааааааа​

Приложения:

Ответы

Ответ дал: John339
0

Ответ:

A.

Пошаговое объяснение:

-\frac{3}{7} <0, тому функція спадає. Отже більшому значенню аргумента відповідає менше значення функції. Тому f(2,8)>f(3,7).

Вас заинтересует