• Предмет: Алгебра
  • Автор: яидиот2345
  • Вопрос задан 2 года назад

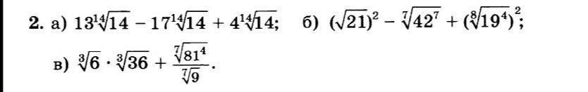
Срочно нужно решить алгебру, даю 30 баллов!

Приложения:

Ответы

Ответ дал: dinar3007
0

Ответ:

Смотреть фото

Объяснение:

Задание очень лёгкое, выучи свойства степеней и все станет понятно

Приложения:
Вас заинтересует